(Решено)Упр.22.10 ГДЗ Мерзляк Поляков 8 класс п...
(Решено)Упр.9.10 ГДЗ Мерзляк Поляков 9 класс по...
(Решено)Упр.13.10 ГДЗ Мерзляк Поляков 9 класс п...
Алгебра и начала математического анализа. 10 кл...
Мерзляк 10 Контрольная 1 (угл.) по алгебре. 4 в...
Алгебра. 10 класс. Базовый уровень, А. Г. Мерзл...
(Решено)Упр.2.10 ГДЗ Мерзляк Поляков 9 класс по...
Книга: "Математика. Алгебра и начала математиче...
мерзляк алгебра і початки аналізу 10 клас профі...
Математика. Геометрия. 10 класс. Учебник. Углуб...
Алгебра. 10 класс. Дидактические материалы. Баз...
Математика. Алгебра і початки аналізу, 10 клас ...
(Решено)Упр.19.10 ГДЗ Мерзляк Поляков 8 класс п...
Алгебра 10 клас збірник задач Мерзляк by sloven...
(Решено)Упр.24.10 ГДЗ Мерзляк Поляков 8 класс п...
ГДЗ Алгебра 10 класс Мерзляк, Номировский, Поля...
ГДЗ алгебра 10 клас Мерзляк 2018 Профільний рівень
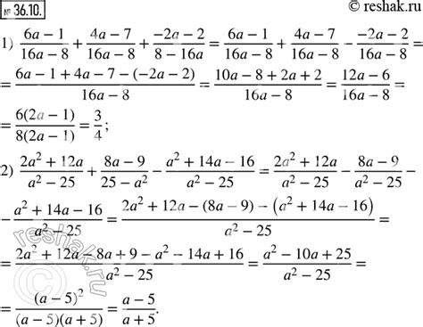
(Решено)Упр.36.10 ГДЗ Мерзляк Поляков 7 класс п...
(Решено)Упр.30.10 ГДЗ Мерзляк Поляков 9 класс п...
Алгебра. 10 класс. Самостоятельные и контрольны...
Учебник 10 класс Мерзляк Номировский Поляков Ге...
(Решено)Упр.6.10 ГДЗ Мерзляк Поляков 8 класс по...
ГДЗ § 35 35.10 алгебра 8 класс Мерзляк, Поляков
(Решено)Упр.20.10 ГДЗ Мерзляк Поляков 8 класс п...
Відповіді з алгебри 10 клас
А.Г. Мерзляк, Д.А. Номировский, В.М. Поляков | ...
ГДЗ § 21 21.10 алгебра 9 класс Мерзляк, Поляков