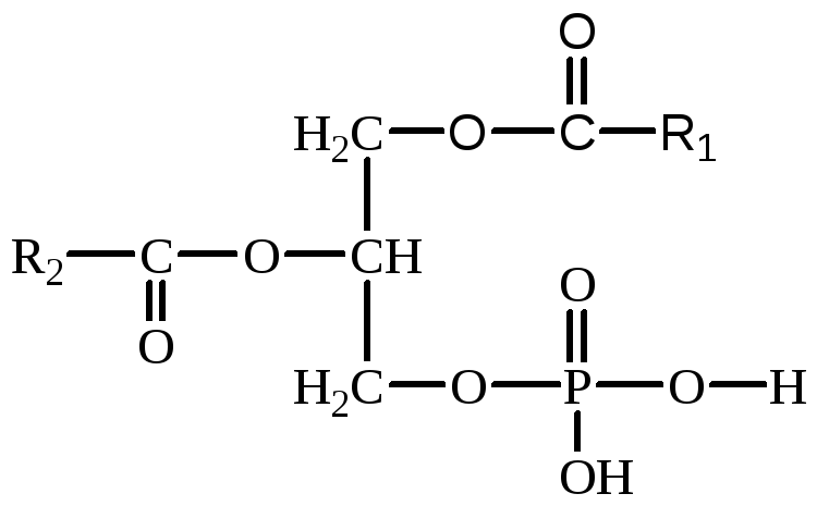
6.3.3. Фосфатиды ( фосфолипиды ) и фосфатидовая кислота

6.3.3. Фосфатиды ( фосфолипиды ) и фосфатидовая кислота