"Полина" для Полины | Шить просто — Выкройки-Ле...
Планета Полин | Книга Оксани Забужко | Купити з...
Полином Блокнот - купить с доставкой по выгодны...
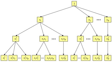
Вычисление полинома от нескольких переменных
POLİN PP 2021 – Polin Kimya
Мини подарок от "Полины " - YouTube
Полінорм-плюс | Ekomed
Делене на полиноми със схемата на Хорнер - YouTube
Полин цитварний | Фактосвіт
Купить тетради оптом от производителя|Производс...
Полиен
Сервисы АСКОН
Как принимать полынь (инфо-продукт) - Метод Смо...
ПОЛИНОМИ | PDF
Полиномы - презентация по Алгебре
Полиноми - YouTube
Полынь концентрированная — Здоровы с нами
Полиномы Эрмита - YouTube
Работа с полиномами. (Лекция 2.3) - презентация...
Полиномы презентация, доклад
Блокнот Полином - купить с доставкой по выгодны...
Polin 6014 – Polin Kimya
Полином Жегалкина — ALL
Что нам стоит полином Жегалкина построить…
Презентация по математике "Полиномы" - скачать ...
Полином. — 2009. — № 1 // Библиотека Mathedu.Ru
Работа с полиномами - презентация онлайн
18.04 21 Фото Полины Без Замазки — Картинки фот...
Полином Жегалкина - YouTube
Полиномы от одной переменной. Нохождение НОД. (...