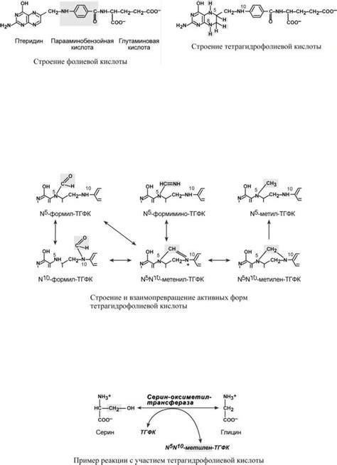
Тимин биохимия - Стр 3
Развитие биохимии и биофизики - презентация онлайн
лекция 9 общая биохимия - презентация онлайн
Презентация на тему: Кафедра биологической химии
Биохимия | PDF
Биохимия. Введение - презентация онлайн
152. Фотография из альбома Лекции по биохимии —...
Лекции по общей биохимии (О. Тимин) - Стр 5
Подготовка к экзамену по Биохимии - презентация...
Биохимия. Нуклеиновые кислоты - презентация онлайн
Биохимия - презентация онлайн
Введение в биохимию - презентация онлайн
Тимин Лекции По Биохимии.Rar - associationholywrit
Тимин биохимия
Биохимия - online presentation
Биохимия и жизнь
Практическое занятие по основам биохимии с мето...
Ван Рансселер Поттер - online presentation
Лекции по биохимии. Астахов
Биомиметические материалы. Что такое биомиметик...
Лекции по общей биохимии (О. Тимин) - Стр 6
Лекция по биохимии №10 - YouTube
Биохимия человека - презентация онлайн
Биохимия | Biology, Biochemistry, Chemistry
Лекция 2 по биохимии – Фотография 8 из 40 | ВКо...
Лекция по Биохимии №1, часть 2 - YouTube
Презентация на тему: Введение в биохимию